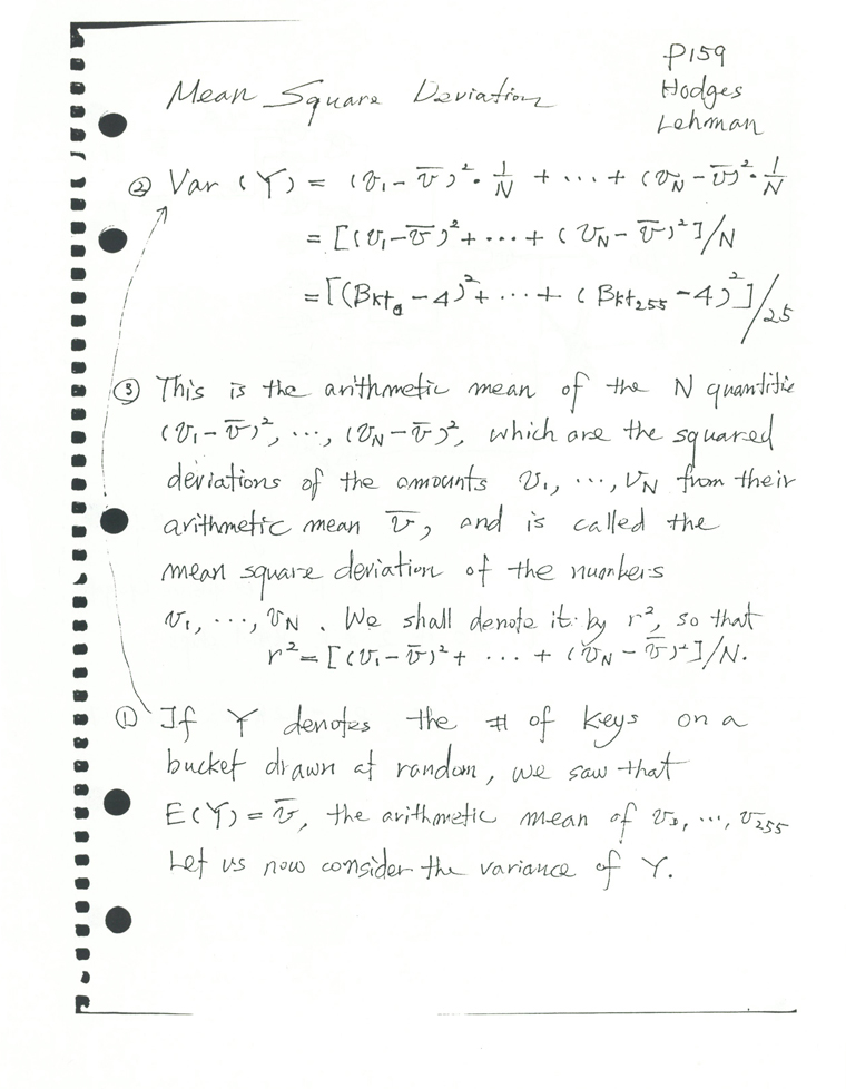
[ 85 - 111 ]
×
PDF File Open
Opening PDF Documents often takes a long time. Do you want to continue opening them or cancel it?